登录
首页
论坛导航
越地人文
正文
王羲之在温州的遗跡
古越小草
26-01-24 16:43 绍兴
楼主
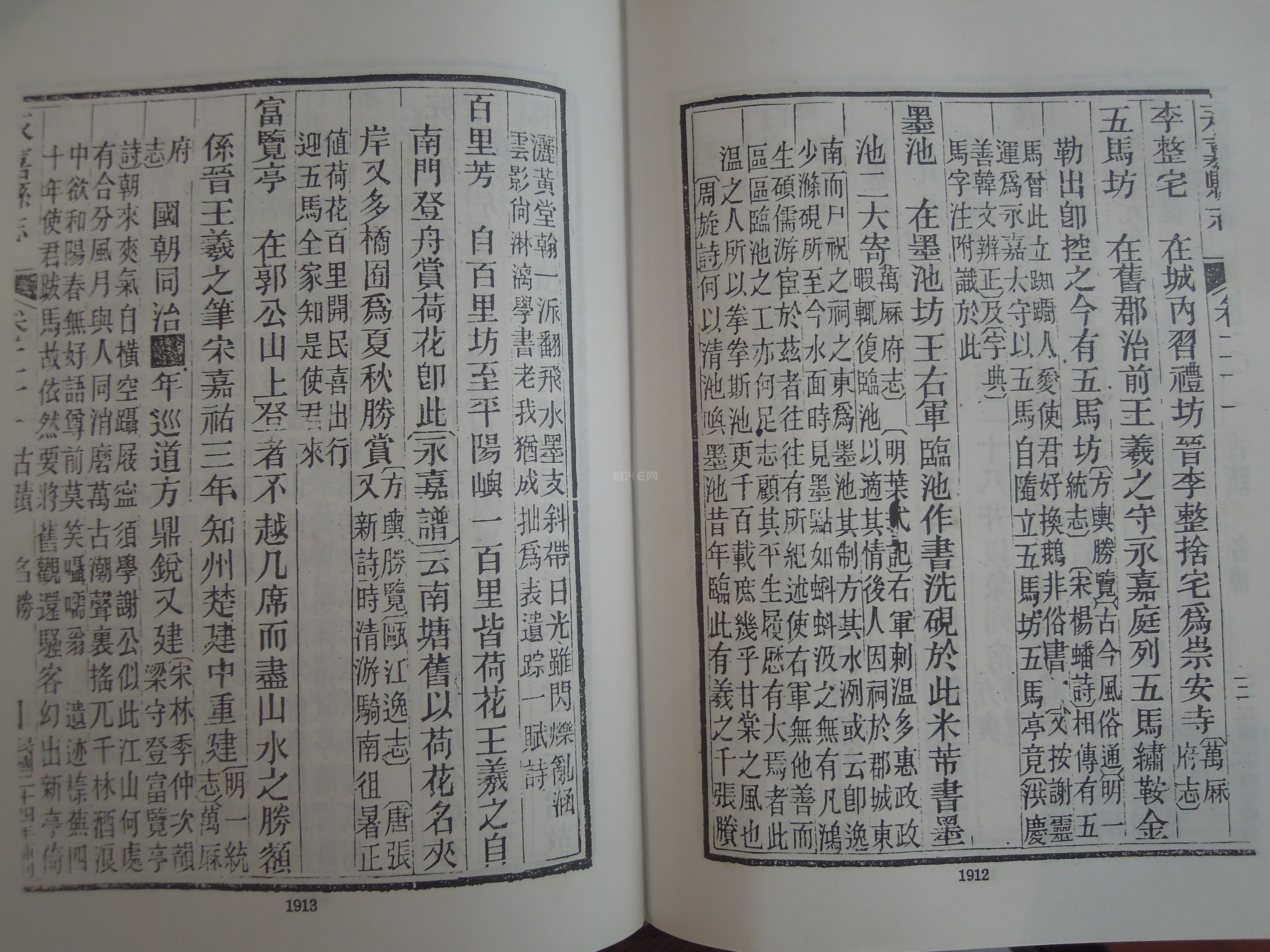
王羲之在温州任过太守,但一直找不到文史资料。今从台湾收集的文集史中北到,上帖与需要者共享
回复
正序看
倒序看
收藏它
发新帖
古越小草
楼主
2026-01-24 17:10 绍兴
1楼
回复
古越小草
楼主
2026-01-24 17:11 绍兴
2楼
温州老城地图
回复
古越小草
楼主
2026-01-24 17:11 绍兴
3楼
回复
古越小草
楼主
2026-01-24 17:13 绍兴
4楼
謝灵运在温州遗跡
回复
古越小草
楼主
2026-01-24 17:13 绍兴
5楼
回复
古越小草
楼主
2026-01-24 17:14 绍兴
6楼
文史記載
回复
dhjdwlc
2026-01-25 07:06 绍兴
7楼
学习了
回复
回复内容:
首页
论坛
我的